Aerodynamics of High Performance Race Bicycle Wheels

Contents

1 ABSTRACT
2 INTRODUCTION
3 MAIN SECTION
3.1 APPARENT WIND ANGLE
3.2 CFD SIMULATION
3.2.1 SIMULATION MODEL
3.2.2 WHEEL GEOMETRIES
3.2.3 CFD RESULTS
3.3 COMPARISON WITH MEASUREMENTS
3.4 TIME GAINS
4 CONCLUSION
5 OUTLOOK

1 ABSTRACT

In the modern sporting world, not only professional, but also amateur and hobby athletes try to permanently improve their performance and results in competitions besides their main job.

In some sports the equipment choice plays a huge role in the overall performance. In cycling, particularly time trialling and triathlon competitions, the rider has to fight against the clock without outside assistance. Improving sports equipment has therefore become a big business and the number of manufacturers and their different products is almost uncountable.

As the power, needed to overcome aerodynamic drag, increases cubically with speed, good aerodynamics are essential to competitiveness in these kind of races.
The wheels are only one part of the overall aerodynamics of the unit rider-bike (~10%), however an athlete can gain significant time advantages with the optimum choice of wheels and tyres. With competitions often being decided by a handful of seconds after several hours of racing, this can be the difference between winning and also-ran.

As wind tunnel testing is very expensive and almost unaffordable for small companies, these investigations should show, if a virtual wind tunnel in CFD can demonstrate the same effects as a real wind tunnel with comparable aerodynamic forces. By investigating six different wheels with varying rim profiles, depths and spoke counts, combined with upstream flow angles varying between 0° and 30°, this study should show if CFD is a valid tool to develop aerodynamic bicycle wheels.

[top]

2 INTRODUCTION

Real world race conditions never offer perfectly still air or frontal wind (0°). Bicycle wheels have therefore to be developed for upstream flow angles, which are experienced in typical weather conditions by a typical racing cyclist.

Aerodynamic drag and side forces were determined using FIRE v2008.1 and the characteristic curves compared with results from wind tunnel tests from the leading wheel manufacturers.

The time differences for the wheel sets for a given power output of a rider were calculated analytically, taking into account the before mentioned drag forces.

[top]

3 MAIN SECTION

3.1 APPARENT WIND ANGLE

vectors
Figure 1: relationship between wind angle, wind speed and bicycle speed

The effective flow velocity and yaw angle can simply be determined by vector addition of the bike speed vector and the wind speed vector (Figure 1).
This means, the higher the bicycle speed and the lower the wind angle, the lower the yaw angle.
Average wind speeds are rarely above 20 km/h in our areas. Professional time trial (TT) riders achieve average speeds up to 50 km/h, good hobby and amateur riders up to 45 km/h, and average triathlets between 35 km/h and 40 km/h.
For all possible wind angles with a wind speed up to 20 km/h this means, that professional cyclists rarely experience yaw angles above 20°.
Even amateur or hobby cyclists rarely have to fight against upstream flow angles between 20° and 25°.
Only cyclists with an average speed of 35 km/h or less would experience yaw angles approaching 30°.

These simple investigations highlight why the major wheel manufacturers optimize their aerodynamic wheels for yaw angles up to 15°.

(More details about the apparent wind angle can be found in our TechTalk area)

[top]

3.2 CFD SIMULATION

3.2.1 SIMULATION MODEL

All CFD simulations were performed with FIRE v2008.1 in steady state mode using the k-e-turbulence model.
The virtual wind tunnel consists of a moving road, inlet boundary with 11.11 m/s (40 km/h) inlet velocity and 1 bar outlet pressure boundary. The three remaining sides are defined as symmetry. Figure 2 shows the simulation domain with its dimensions.

simulation domain
Figure 2: CFD simulation domain with dimensions

The rotating wheel is modeled with the MRF (multiple reference frame) method. Therefore the entire wheel is covered inside the MRF volume with the arbitrary interface between MRF volume and the wind tunnel domain (see Figure 3).
For all simulations the wheels rotate around the y-axis with the respective rotational speed of 316.73 rpm. The yaw angle was varied by turning the wind tunnel around the z-axis through the respective angle.

MRF
Figure 3: definition of MRF volume
[top]

3.2.2 WHEEL GEOMETRIES

6 wheel geometries were investigated, which differ in rim depth, rim profile and spoke count. All investigated wheels are thought to be aerodynamic wheels with rims built of carbon and considerably deeper than traditional aluminium rims.
The models were meshed with Fame Hybrid. The overall simulation mesh consists of 1Mio (disc) to 6Mio (Zipp 303) cells.

Zipp 303 Campa Bora Leightweight
Zipp 303 Campa Bora Leightweight
Zipp 303, rim depth 44mm, 20 spokes Campagnolo Bora, rim depth 53mm, 18 spokes Lightweight, rim depth 55mm, 16 spokes
Zipp 808 Zipp 1080 Zipp 900
Zipp 808 Zipp 1080 Zipp 900
Zipp 808, rim depth 84mm, 18 spokes Zipp 1080, rim depth 111mm, 16 spokes Zipp 900 Disc
1080 Photo 1080 Mesh
Figure 4: Zipp 1080 real wheel Figure 5: Zipp 1080 simulation mesh
[top]

3.2.3 CFD RESULTS

The simulations showed a large dependency of the yaw angle on the drag force (Graph 1), as it is already known from various wind tunnel tests by bike journals and wheel manufacturers.
For 0° yaw angle, i.e. no wind or head/tail wind, the difference between the wheels is marginal.

The disc wheel showed decreasing drag with increasing yaw angle, up to 20° yaw, where the drag even turns negative.
The next best wheels are the Zipp 1080 and 808 with decreasing drag for yaw angles above 10°. The Lightweights are a good solution for high yaw angles (>20°); at 30° yaw angle they produce even less drag than the Zipp 808 and only little more drag than the very deep Zipp 1080 rims.
The worst wheel in this investigation was the Campagnolo Bora, with 55% more drag than the Zipp 1080 at 20° yaw. Even the Zipp 303 with lower rim than the Bora generated less drag than the Bora over the entire investigated yaw angle range.

drag
Graph 1: Drag force for different yaw angle at 40 km/h air speed

The side force (Graph 2), i.e. the air forces acting perpendicular onto the wheel, depends on the projected area in y-direction (Figure 3). That means, that the side force increases with increasing rim depth. The gradient is linear over the yaw angle, except for the disc wheel.

side_force
Graph 2: Side force for different yaw angle at 40 km/h air speed

To calculate the power (chapter 3.4), which is needed to move a wheel through the air, the translational drag coefficient cw and the frontal area A of the wheel is needed. The product of cw*A, which is independent of the air speed, is plotted in Graph 3 and shows similar characteristics as the drag force.

cwA
Graph 3: cw*A for different yaw angle

One of the big advantages of CFD simulations is the possibility to visualise the streamlines, i.e. the characteristic flow around a part. In the case of a rotating wheel the air is deflected downwards by the front part of the rim (Figure 6) and forms big eddies close to the ground on both sides behind the wheel (Figures 6 & 7).

Streamlines
Figure 6: Streamlines around rotating Zipp 1080 wheel at 40 km/h Eddies
Figure 7: Streamlines around and velocity plot behind rotating Zipp 1080 wheel at 40 km/h

For more detailed result plots click here

[top]

3.3 COMPARISON WITH MEASUREMENTS

As we do not have the facilities to do our own wind tunnel tests to compare with our CFD results, we have to rely on tests done by bike journals or the leading wheel manufacturers. The problem with these external tests is, that they mostly are carried out under different conditions and these conditions are not well documented.
Also the influence of the "up-side-down" forks, in which the wheels are held in wind tunnels, on the measured drag is not known. In our CFD simulations the wheels were rotating without an additional device to hold it in place.
But it is at least possible to compare the characteristics of different wheels and to classify them in terms of drag.

Graph 4 shows the power, which is needed to move a wheel through the air at 45 km/h bike speed, i.e. the frontal air speed was kept const. at 45 km/h for the different yaw angles, which means that the wind tunnel speed had to be increased for increasing yaw angles. In our simulations in contrast the wind tunnel speed was held const. This leads to the fact, that in this wind tunnel test of the German journal Velomotion, the drag (power) is higher than in our simulations, the larger the yaw angle.

From our investigations, the Zipp 808 (green), Lightweight (red) and a disc wheel (orange) was measured.
The disc wheel and the Lightweight show very similar characteristics in measurement and CFD simulation. Also the characteristic of the Zipp 808, to generate more drag than the Lightweight for yaw angles > 20° is a good agreement between test and CFD. Only the characteristic fall-off in drag at 10° yaw angle for the Zipp 808 can not be seen in the CFD simulations.

Velomotion
Graph 4: Wind tunnel test of german bike journal Velomotion: power needed to move the wheel through the air at 45 km/h bike speed for varying yaw angles

Graph 5 shows the drag forces measured in wind tunnel tests from HED Cycling.
The measurement demonstrates again the characteristic fall-off in the drag curve at around 10° yaw angle, for both Zipp wheels, the 808 and 1080. The difference between the 3 wheels is similar to our results.

HED
Graph 5: Wind tunnel test of wheel manufacturer HED: drag force at 30mph for varying yaw angles, Campagnolo Bora (red), Zipp 808 (green), Zipp 1080 (blue)

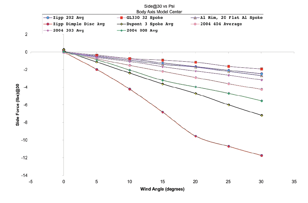
The manufacturer Zipp measured the side forces on the wheels, which are plotted in graph 6.
The result is pretty much the same as in the CFD simulations: with increasing rim depth and yaw angle the side forces increase. The gradient is linear over the yaw angle, except for the disc wheel (compare with Graph 2)

Zipp
Graph 6: Wind tunnel test of wheel manufacturer Zipp: side force at 30mph for varying yaw angles
[top]

3.4 TIME GAINS

It may be nice to know, that one wheel performs better than another. But when it comes to racing, it is the time differences that count.
The velocity of the bike and rider is the result of the balance between the propulsive force applied to the pedals and the sum of all the resistive forces acting on the bike. These resistive forces include some obvious (wind resistance or drag, ascending slopes and rolling resistance) and some less obvious (inertia of the wheels and effiency of the drivetrain) forms of resistance. Martin et al. (1998) proposed an equation to model the power required to maintain any velocity:

Total Power = Pd (Power drag) + Pr (Power rolling resistance) + Pf (Power friction) + Ps (Power slope) + Pa (Power acceleration)
Pd = va2*vb*1/2*dens*cw*A
Pr = vb*crr*mt*g*cos(tan-1(Gr))
Pf = vb*(91+8.7*vb)*10-3
Ps = vb*mt*g*sin(tan-1(Gr))
Pa will be neglected, as we consider only const. speed

va air velocity of the bicycle tangent to the direction of travel of the bike and rider
(which depends on wind velocity and the ground velocity of the bicycle - chapter 3.1)
vb bike velocity
dens air density
cw overall drag coefficient of bike (including frame, fork, wheels, ...) and rider
A frontal area of bike and rider
crr coefficient of rolling resistance
mt total mass of bike and rider
g acceleration due to gravity
Gr gradient of the road surface

With this equation it is easily possible to calculate the average velocity for different bike & rider combinations on a given course.

professional rider amateur rider hobby triathlet
avg. Power [W] 450 350 250
total mass [kg] 77 77 77
cw*A rider [m²] 0.225 0.225 0.268
slope 0 0 0
dens [kg/m³] 1.1313 1.1313 1.1313
cw*A frame [m²] 0.045 0.045 0.045
crr (high performance tubular) 0.0027 0.0027 0.0027
front wheel Campa Bora Zipp 1080 Campa Bora Zipp 1080 Campa Bora Zipp 1080
rear wheel Campa Bora Zipp Disc Campa Bora Zipp Disc Campa Bora Zipp Disc
v avg. [km/h] 47.97 49.27 43.93 45.11 37.43 38.30
time for 40 km 50min 1.76sec 48min 42.63sec 54min 37.5sec 53min 11.51sec 64min 6.9sec 62min 39sec
time gain [sec] 79 86 88

On a flat 40km time trial a professional rider can gain 79sec with the fastest wheel set (Zipp 1080 & Disc) compared to a Campa Bora wheel set.
The slower the rider, the larger the time gain with a faster wheel set, as the aerodynamic advantage of the wheels remains the same, but the slower rider spends more time on the course and thus can save more time with faster wheels.

[top]

4 CONCLUSION

The results of the CFD simulations, and the subsequent comparisons with the wind tunnel test results, proves that CFD is a valid tool to investigate the aerodynamic behaviour of bicycle wheels. It is not only possible to determine aerodynamic drag values, but one can also visualise the airflow around the wheel and detect areas of flow separation, resulting in increased drag. Therefore CFD with the applied method is thought to be the perfect, time and money saving tool to help to design improved wheel geometries.

[top]

5 OUTLOOK

As the spokes did not show the biggest effect on the overall drag of a wheel, in further investigations only the rim and hub will be meshed and simulated. This gives a large benefit in model size (reduced cell quantity) with the additional advantage that we can surrender the MRF method and instead mesh rim and hub as a "moving rotating wall". First tests showed a reduction in simulation time of appr. 30-40%.
Together with such a minimised wheel model it will also be possible to simulate a rotating wheel together with a bicycle fork and investigate the relationships between both parts, later on with the option of 2 rotating wheels with the entire bicycle frame and fork.
Eventually new, more efficient turbulence models (for aerodynamic investigations) will be investigated in order to detect the characteristic fall-off in drag, which can be seen for the Zipp 808 and the Zipp 1080 wheels.

[top]